Before the world knew him as Mario, Nintendoâs iconic plumber had a simpler name: Jumpman. That name makes sense, when you think about it: Mario is defined by his ability to jump. But lately, Iâve become fascinated by the people who playâand beatâSuper Mario 64 without jumping a single time.
Heck, sometimes they donât even use the joystick. Or buttons.
Over the years, hardcore Super Mario 64 players have found a few different ways to spice up their playthroughs of the classic Nintendo 64 platformer. Known as challenges, these special playthroughs impose rules that might sound absurd to the average Mario 64 player.
Thereâs the âA Button Challenge,â which requires players to beat a level with as few A button presses as possible. The A button, as you may recall, is the jump button in Super Mario 64. Arguably the most important button in the game! And while many players have attempted this challenge, one man, a gamer named Scott Buchanan, holds the most records for this type of play through. In dozens of different levels, Buchanan has figured out how to get a star without ever jumping at all.
Itâs the sort of thing you need to see to believe.
Two key things worth noting here: One, Mario makes heavy usage of Slide Attack, which is done by pressing B + the control stick. Most of Buchananâs playthroughs are like thisâhe uses every move in Marioâs arsenal, such as his punches and kicks. And two, the only reason this is possible with zero jumps is because of a Lakitu that Mario kills around the 1:14 mark. Killing the Lakitu allows Mario to bounce onto a platform he wouldnât normally be able to reach, thus allowing Mario to finish the level without jumping. As the YouTube description explains:
This involves keeping Lakitu inactive at a low elevation by getting far away from him. If this were not done, Lakitu would ascend with Mario, never allowing Mario to fall onto him. I then lure Lakitu towards the glass block, and bounce on him to grab onto it.
This playthrough is the handiwork of Scott Buchanan, a twenty-year old computer science major who has been playing Super Mario 64 all his life. You may know him as the guy that collected the mythical âImpossible Coin,â that Super Mario 64 coin nobody collected for 18 years. Or, you may know him as the man who told the world about that Super Mario 64 Goomba nobody has ever killed.
âI wasnât satisfied [with beating Super Mario 64 as a kid]â I wanted to beat it perfectly, namely by collecting the maximum coin score in each course,â Buchanan recalled. âSo I found a website ( http://www.sm64.com/) that listed every coinâs location, and so I meticulously learned of each and every coin in the game, as well as infinite coin glitches.â
This was the start of Buchananâs obsession with Mario 64. Where most people reminisce on their first ever game fondly, perhaps replay it from time to time, Buchanan wanted to pop open Mario 64âs hood and see what makes it work. So, he picked up an emulator in an effort to see how far he could push the game.
âWith an emulator, I could now test things with ease, use save states and hacks, and record myself,â Buchanan explained. âThis is when I started making videos. Using the power of the emulator, I could pick up where I failed on the console.â
For some, this idea might sound sacrilegious. Surely manipulating a game with an emulator isnât as âpureâ as picking up a controller and playing that way? But often, this conception of how a game âshouldâ be played is based on ignorance of how tool-assisted runs of games function. While itâs true that an emulator can accept button presses from a player on individual frames, actually figuring out and optimizing a run takes a lot of work, and a ton of knowledge of the inner-workings of the game in question.
âI put a lot of forethought into the challenge before I did anything,â Buchanan told me.
As an example: a video like this, where Buchanan collects a star with no jumps, might only be two minutes long:
But figuring it out and doing the process might have taken him a couple of hours, if not more. One particular grueling run apparently took Buchanan two weeks of planning.
âThe amount of time it takes to [tool-assisted speedrun] something really depends on how optimized you want it to be,â Buchanan explained. â[It can mean] redoing a part over and over until itâs as perfect as you want it to be. So for example, having Mario run at a specific angle for 10 frames, realizing heâs slightly too far down, choosing a slightly higher angle, rerunning the 10 frames, reassess, and repeat. And you do this process at every step of the [tool-assisted speedrunning.]â
Some runs get so complicated that Buchanan ends up drawing blueprints, using mathematical calculations to figure out precisely how heâs going to pull something off.


In cases like these, picking up a controller and getting the star the ânormalâ way would have been way, way easier. And while itâs true that the occasional usage of glitches makes certain feats look easy, Buchanan sometimes still needs to figure out how to use them. Itâs a process that requires precision and creativity. Itâs not like glitches are always lying around, just waiting to be reproduced. In the past, Buchanan has found glitches by problem solving, and asking himself: how can I use a levelâs attributes to help me beat it without ever jumping?
Hereâs a good example:
As Buchanan explains in the YouTube description for this video, he glitches out a levelâs water, ultimately letting him swim to an otherwise unattainable star:
I had been wondering if raising/lowering the water level could help me collect this star in 0 A presses, and then it suddenly hit me: what if I raised the water level to the maximum possible value? I theorized that if I did this, then the water level would actually overflow onto the lowest possible water level. Using hacks, I tested this and found it to be true. Consequently, I then raised the water level using TAS until it reached a very special water level, which Iâm naming the âoverflow water level,â at which the water level oscillates between the highest water level and the lowest water level. I make use of this to ascend and descend in the town, thereby allowing me to collect the star in 0 A presses.
To raise the water, I make use of a glitch, which works as follows. The water in the town raises and lowers periodically. Whatever water level you unload the town on becomes the median water level for the next time you load the town. So if you consistently unload the town while the water is at the top of its cycle, then the water will gradually rise, and thatâs what I do in the video. The water level is stored as a 16 bit signed integer. Therefore, the maximum water level is:
7FFF (hex) = 0111111111111111 (binary) = 32767 (decimal)
If the water level rises one more unit, then it becomes the minimum water level, which is:
8000 (hex) = 1000000000000000 (binary) = -32768 (decimal)
Note that this is because it is a signed integer, stored using twoâs complement notation.
If some of that goes over your head, thatâs OK. The point is: this isnât like just selecting a cheat on a Gameshark. And even in instances where he makes heavy usage of things that sound game-breakingâlike duplicating an enemy over and over againânot only is it entertaining to watch for the viewer, it still takes a work for Buchanan.
The run above is actually the âNo Buttons Allowedâ challenge, which is exactly what it sounds like. Obviously, the player can still use the joystickâthatâs not a buttonâand can also use glitches. Here we see Buchanan stomp on multiple clones of the same enemy, with the intention of bouncing off the enemyâs head at an angle that allows him to hit a block that holds a star. The interesting thing about this is, even though Buchanan cloned an enemyâsomething which the average Mario 64 player might consider cheatingâgetting this scheme to work still wasnât easy.
âMoneybags are extremely stubborn to work with, and so it took MANY re-records to get them to go to climb higher up the hill consistently,â Buchanan explained in the video description.
âIt was especially difficult to transition the moneybag from the hillâs slope to the flat surface above the hill, but I figured out that knocking it back with Marioâs own body was the simplest way to do it. From there, it was a simple matter of moving the moneybag to the item block (without it falling into the water), and then duplicating it. Then to initiate the bouncing spree, I used the bounce from Marioâs sitting position. Once the bouncing spree started, I had to move slowly so that I could activate the moneybags in front of me before bouncing on them.â
âThis is probably the most outrageous idea Iâve had that ended up actually working,â Buchanan told me. âIt took 4 hours to do, and during that time I couldnât know if it would work! It was such a relief to me when it did, especially since it was so cool to watch.â
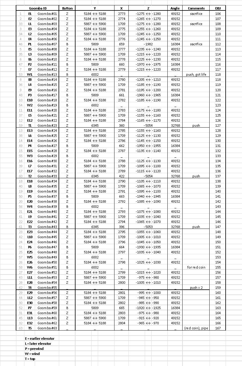
And in case youâre still not convinced about the amount of planning even glitch runs like this can take, hereâs an excel spreadsheet that Buchanan used in a run where he cloned 63 Goombas, just to be able to beat the level with as few jumps as possible:
Crazy.
In any case, just like the A Button Challenge, the No-Buttons-Allowed challenge requires tons of creativity on Buchananâs part. Heâll figure out ways to kill enemies without jumping on them, or ways that glitches or taking damage can catapult him where he needs to beâwhatever gets the job done.
Meanwhile, the âNo Joystick Allowedâ challenge may be more tedious to watch, but itâs no less fascinating than both the challenges Iâve highlighted so far. In that type of challenge, Buchanan can make heavy use of normal jumpsâbut he canât reposition Mario using the joystick, which makes things more difficult. He still finds a way to do it, of course.
âI curse the day this genre was born,â Buchanan said. âBasically, people in the comments of my no buttons videos said: âNice! Now do it without the joystick too!â Of course, that was said as a joke, because it would mean inputting absolutely nothing. But the more I thought about it, the more I realized that it might be possible to collect a star without using the joystick if we used all the other buttons to compensate.â
Buchananâs love of Super Mario 64 is inspiring. Often, watching his videos tests my Mario literacy, and I donât mean simply because some glitches make me go, âwhat the fuck?â Itâs not uncommon for me to replay certain segments of his videos multiple times, wondering just how Mario did somethingâonly to realize that, regardless of the dozens of hours Iâve spent playing the actual game, I donât actually know that much about it at all. Thatâs when I realize that a player has so many possibilities when it comes to moving Mario that, for hardcore Super Mario 64 players, limiting themselves to only jumps is doing the game and its rich design a disservice. More than anything, Buchananâs work makes me feel empoweredâwith knowledge that lets me appreciate Super Mario 64 on a deeper level, while reinforcing the seductive idea that I donât have to play a game the way most people do.
Iâll leave you with some of Buchananâs favorite challenge runs of Super Mario 64, along with his explanations for why these videos hold a special place in his heart.
In this one, I use a trick to build up a super high speed, then launch this speed, bounce on the scuttle bug, and collect the star. I like how thereâs a buildup of suspense, because the viewer doesnât know whatâs coming. And then in a very climactic finish, I release all this pent up speed at once. And at that moment, Dorrie, the door, the scuttle bug, the gap in the ground, and the star all lined up and I took advantage of it, using Dorrie for height, going through the door, bouncing on the scuttle bug, passing over the gap, and collecting the star.
This one definitely hits close to home, because I spent 8 hours TASâing it. The first 4 hours getting the bob-omb to the cage, and the second 4 hours using the bob-omb to get above and then into the cage. It was just such a novel idea I had to use the bob-ombâs momentum. Itâs interesting to watch, but a pain to TAS. The bob-omb is so annoying to transport and keep from exploding, but I had to because I needed its momentum!
This one was really innovative on my part, as I fight big boo from on top of an item block. I have to first lure big boo to the item block, use him to get on it, raise him so I can fight him from my level, and then actually kill him. The testing for this one had so many revisions and dead ends, that it was great that it eventually ended up working!
You can check out more of Buchananâs challenge videos here.
[This article was originally published on 11/10/14.]
Image by Sam Woolley.